История эмблемы Scania
Известный факт, что «Скания» начала своё существование в 1891 году. А с 1911 года произошло историческое слияние двух компаний – одной, производящей велосипеды, и второй, выпускающей железнодорожные вагоны. Отсюда и вытекает первая эмблема : голова грифона, обрамленная тремя спицами велосипедного шатуна.

В 60-х годах прошлого столетия от представителей конкурентов Daimler-Benz поступила претензия, что эмблема Scania очень похожа на значок Mercedes. «Скания», страна-производитель которой Швеция, была тогда не так сильна на политической арене, и в 1968 г. произошло изменение логотипа на простое изображение грифона на белом фоне.
Что входит в автомобильную аптечку: утвержденный состав по ГОСТ
В самом худшем случае придется проводить комплексную замену, либо вовсе устанавливать новый клаксон или новое рулевое колесо. Но такое происходит достаточно редко.
Чаще всего автомобилисты сталкиваются с банальным окислением и нарушением контактов из-за ржавчины. Устраняется проблема путем зачистки контактов и их последующего обратного подключения.
Если по каким-то причинам вы не можете самостоятельно найти проблему, либо не решаетесь взяться за исправление сложившейся ситуации своими руками, обратитесь к опытным специалистам. Они быстро проведут диагностику, найдут источник неприятностей, и исправят поломку. Но уже непосредственно за ваши деньги.
А вам приходилось сталкиваться с выходом из строя сигнала на руле? Как вы устраняли неисправность и какова была причина неполадок? Удалось ли справиться своими руками?
Спасибо всем за вашу активность и комментарии! Обязательно подписывайтесь, оставляйте отзывы, задавайте вопросы по теме и приглашайте к нам своих друзей!
Источник
Генератор на Scania серии P,G,R
Блок управления двигателем определяет, когда активизируется генератор. Чтобы гарантировать активизацию, частота вращения коленчатого вала двигателя должна быть достаточной для этого, то есть приблизительно 400 об/мин. Если генератор активен и происходит зарядка, блок управления двигателем получает сигналы от него.
Если блок управления двигателем обнаруживает сбой генератора при выполнении зарядки, генерируется код неисправности и на панели приборов загорается контрольная лампа зарядки. После проверки электропроводки и электрических разъемов рекомендуется выполнить проверку генератора.
Генератор приводится в действие поликлиновым ремнем двигателя. Когда частота вращения коленчатого вала двигателя увеличивается, частота вращения генератора также увеличивается, приводя к более высокому напряжению генератора.
Регулятор зарядки, расположенный на генераторе, используется для того, чтобы ограничить напряжение генератора (чтобы оно не стало слишком высоким), когда увеличивается частота вращения коленчатого вала двигателя. Это регулятор транзисторного типа, и регулировка происходит благодаря заземлению на массу штыря № 2 (L) регулятора
- Не используется
- L
- 15
- Не используется
- Не используется
На генераторе Bosch регулятор зарядки представляет собой единый блок с угольными щетками. А генератор Melco имеет отдельные угольные щетки, которые не объединены с регулятором зарядки.
Угольные щетки опираются на контактные кольца генератора. Чтобы генератор работал, угольные щетки должны иметь определенную длину.
Если при неподвижном автомобиле требуется более значительная подача питания, частоту вращения коленчатого вала двигателя можно увеличить путем регулировки частоты вращения коленчатого вала в режиме холостого хода.
Блок предохранителей в моторном отсеке Porsche 924/944
Блок предохранителей находится в моторном отсеке.


| № | (А) | Назначение |
|---|---|---|
| 1 | 25 | Подъемная крыша, выпуск хэтчбека |
| 2 | 25 | Мотор фары |
| 3 | 15 | Гудока |
| 4 | 30 | Электрические стеклоподъемники |
| 5 | 15 | Противотуманные фары |
| 6 | 30 | Регулировка сиденья |
| 7 | — | — |
| 8 | — | — |
| 9 | — | — |
| 10 | 25 | Вентилятор охлаждения №2 |
| 11 | 15 | Прикуриватель, выпуск хэтчбека, часы, указатель уровня топлива, внутреннее освещение перчаточного ящика |
| 12 | — | — |
| 13 | 30 | Обогрев заднего стекла, зеркало с подогревом |
| 14 | 30 | Воздушный вентилятор |
| 15 | 25 | Вентилятор охлаждения №2 |
| 16 | 15 | Мотор фары |
| 17 | 7.5 | Обогрев, муфта компрессора кондиционера |
| 18 | 7.5 | Инструменты, Управление крышей, Звукосниматель в зале, Гонг |
| 19 | 15 | Стоп-сигнал, круиз-контроль |
| 20 | 7.5 | Дальний свет (слева) |
| 21 | 7.5 | Дальний свет (справа) |
| 22 | 7.5 | Ближний свет (слева) |
| 23 | 7.5 | Ближний свет (правый) |
| 24 | 30 | Стеклоочиститель, Форсунки стеклоочистителя с подогревом, Ветровое стекло и фара, Насос омывателя |
| 25 | 25 | Подогрев сидений |
| 26 | — | — |
| 27 | — | — |
| 28 | 25 | Резервный свет |
| 29 | — | — |
| 30 | 7.5 | Левый задний указатель поворота и габаритный свет |
| 31 | 7.5 | Левый передний указатель поворота |
| 32 | 7.5 | Правый передний указатель поворота |
| 33 | 7.5 | Правый задний указатель поворота и габаритный свет |
| 34 | 15 | Топливный насос, кислородный датчик |
| 35 | — | — |
| 36 | 7.5 | Радио |
| 37 | 7.5 | Мотор фары |
| 38 | 7.5 | Подсветка приборов |
| 39 | 7.5 | Радио |
| 40 | 7.5 | Левый парковочный и правый свет номерного знака |
| 41 | 7.5 | Правая парковочная и левая подсветка номерного знака, подсветка моторного отсека |
| А | Компрессор кондиционера | |
| B | Подпорная крыша | |
| С | ||
| D | ||
| E | ||
| F | ||
| G | Противотуманные фары | |
| H | Противотуманные фары | |
| I | ||
| J | Фиксатор Х | |
| K | Система омывания фар | |
| L | Гонг, каталитический нейтрализатор | |
| M | Мосты | |
| N | Стеклоподъемник | |
| О | Зуммер | |
| P | Прерывистые дворники | |
| Q | Вентилятор | |
| P | Воздушный вентилятор | |
| S | Фиксатор 15 | |
| Т | Розетка для проверки заднего стекла и предохранителей | |
| U | Мигалка указателя поворота | |
| V | ДМЕ |
Генератор и аккумуляторная батарея грузовиков Scania. Руководство — часть 3

Автомобили со спальными местами или при их использовании при температуре ниже -20º С должны быть оборудованы аккумуляторным нагревателем. Нагреватель обогревает аккумуляторная батарея до температуры 10-15ºС, снижая проблемы подзарядки.
включается при температуре приблизительно ниже –4 4ºС и только тогда, когда генератор обеспечивает подзарядку.
Изоляция позволяет сохранять тепло в аккумуляторная батарее, что может ускорить запуск двигателя. Теплый аккумуляторная батарея имеет емкость в два раза больше, чем холодный аккумуляторная батарея.
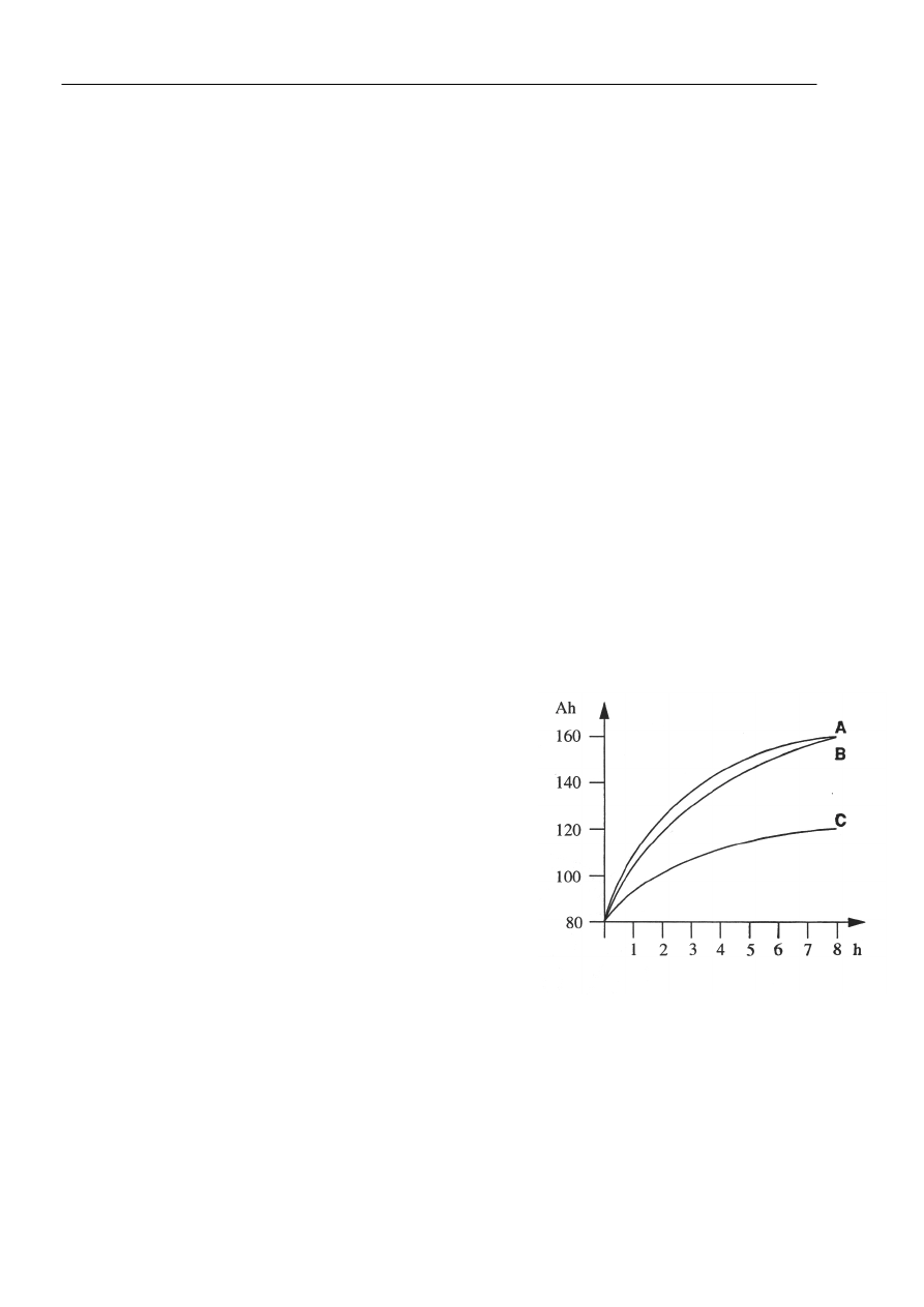
Пример: На этом примере мы видим, как температура и время движения автомобиля воздействуют на зарядку аккумуляторной батареи.
Аккумуляторные батареи емкостью 160 ампер-час разряжаются до 80 ампер-час. На графике показано, какое количество подзарядки восстанавливается в течение 8 часов движения автомобиля. При наличии аккумуляторного обогревателя аккумуляторная батарея подзаряжается с 40 ампер-час при температуре -20ºС. Подзарядка осуществляется дважды при 80 ампер-час за один и тот же период.
На эту тему смотри также раздел 16:06-42.
А) +20ºС, 100% подзарядка В) -20ºС, 100% подзарядка с аккумуляторным нагревателем С) -20ºС,75% подзарядка без аккумуляторного нагревателя
Симптомы неполадок
Как вообще можно определить, что клаксон не работает или имеет какие-то неисправности? На самом деле предельно просто.
Можно выделить 2 основных признака проблем с автомобильным звуковым сигналом:
- Сигнал вообще не работает. При нажатии на кнопку водитель, как и другие участники движения, не слышат ровным счетом ничего. Это явный показатель того, что система отказала;
- Сигнал появляется периодически. Бывает и несколько иная ситуация, когда клаксон срабатывает не при каждом нажатии. То есть один раз нажали, все работает, а при попытке посигналить снова, клаксон замолкает, никакой реакции на нажатие нет. Затем ситуация повторяется.
Ничего сложного и необычного в определении характера неисправностей нет. Но теперь нужно понять, почему так происходит и где необходимо искать причины.
Какие особенности у предохранителей реле скания 4?
Реле скания 4 – это устройство, которое используется в автомобиле для защиты электрических цепей от перегрузок и короткого замыкания. Как и любой предохранитель, у реле скания 4 есть свои особенности и особенности работы.
1. Составляющие:
- Предохранитель: представляет собой металлическую наконечник с маркировкой, указывающей на номинал тока, для которого он предназначен.
- Реле: устройство, которое контролирует подачу электричества в электрическую цепь.
- Корпус: оболочка, служащая для защиты предохранителя и реле от воздействия внешних факторов.
2. Расположение:
Предохранители реле скания 4 обычно располагаются в специальном блоке предохранителей, который расположен в моторном отсеке автомобиля или в салоне. Реле также может находиться внутри блока предохранителей или быть интегрировано в другие узлы автомобиля.
3. Работа:
- Если в электрической цепи происходит перегрузка или короткое замыкание, реле скания 4 отключает подачу электричества, чтобы предотвратить повреждение проводки и других компонентов.
- После срабатывания предохранителя, его необходимо заменить на новый предохранитель того же номинала тока.
- Если при замене предохранителя он снова срабатывает, это может быть признаком проблемы в электрической цепи автомобиля, и требуется провести дополнительную диагностику и ремонт.
4. Обслуживание:
Предохранители реле скания 4 требуют регулярной проверки и обслуживания для обеспечения их надежной работы. Рекомендуется время от времени осмотреть предохранители на наличие признаков повреждения, таких как плавкое состояние, накипь или окисление. В случае, если предохранитель поврежден, его необходимо заменить на новый.
Преимущества и недостатки предохранителей реле скания 4:
Преимущества
Недостатки
Простота в установке и замене
Требуют регулярной проверки и обслуживания
Надежная защита электрических цепей
Могут срабатывать при незначительных перегрузках
Высокая степень защиты от короткого замыкания
Необходимость замены при срабатывании
ЭЛЕКТРИКА ДЛЯ ГРУЗОВЫХ АВТО
Современный рынок в России изобилует различными предложениями комплектующих частей для автотранспорта от торговых организаций с сомнительной репутацией. Поэтому выбор надежного поставщика, продукция которого не вызывает никаких сомнений, является для любого владельца наиглавнейшей задачей.
Компания «АТИ» уже более 20-ти лет успешно занимается поставками запасных частей и сопутствующих товаров для российских и зарубежных автомобилей. В настоящее время мы заслуженно пользуемся высокой репутацией надежного партнера, а также внимательно отслеживаем все тенденции развития данного сегмента и его конъюнктурные изменения
В широком ассортименте нашей продукции изделия каталога «Электрика для грузовых авто» занимают важное место
Предохранители: общие понятия
Предохранитель — коммутационный электрический аппарат, предназначенный для отключения защищаемой цепи размыканием или разрушением специально предусмотренных для этого токоведущих частей под действием тока, превышающего определённое значение.
Предохранитель включается последовательно с потребителем электрического тока и разрывает цепь тока при превышении им номинального тока, — тока, на который рассчитан предохранитель.
По принципу действия при разрыве тока в защищаемой цепи предохранители разделяются на четыре класса — плавкие, электромеханические, электронные и использующие нелинейные обратимые свойства по изменению сопротивления после воздействия сверхтока у некоторых проводящих полупроводниковых материалов (самовосстанавливающиеся предохранители).
Купить предохранители МАН, предохранители Скания в интернет магазине ati-auto.ru
Если же выбор конкретной модели предохранителя Скания, МАН представляет сложность, то можно обратиться к помощи наших квалифицированных специалистов, которые в режиме онлайн с готовностью ответят на все возникшие вопросы. Для этих целей на сайте предусмотрены кнопки «Заказать звонок» и «Отправить сообщение».
Интернет магазин ati-auto.ru оснащен опцией «Быстрый заказ», которая подразумевает заполнение нескольких полей с контактной информацией и данными о товаре. В этом случае оформление заявки на покупку займет всего пару-тройку минут.
Окно каждой товарной позиции с фото и описанием имеет кнопку «Узнать цену», нажав которую, можно ознакомиться с актуальными сведениями о стоимости, складских остатках и сроках доставки на «Искомый товар» и «Аналоги». Таким образом, выбор предохранителей Scania, MAN из каталога будет более осознанным.
Наши очевидные преимущества перед конкурентной продукцией:
- широкий ассортимент изделий;
- высокое качество, исключающее наличие фальсификации;
- сохранение гарантий изготовителя в соответствии с партнерскими отношениями;
- лояльные цены на предохранители Скания, МАН, обусловленные прямыми поставками от ведущего мирового изготовителя;
- кратчайшие сроки доставки деталей в любой регион России, связанные с налаженной работой с крупнейшими транспортными компаниями страны и наличием неснижаемых складских запасов в 8-ми крупных городах ЦФО, включая Москву;
- высокий уровень сервиса (квалифицированные специалисты компании и современный инструментарий сайта).
Купить предохранители МАН или Скания в интернет магазине ati-auto.ru – это значит выгодно приобрести качественные изделия, которые отличаются своей надежностью и техническим долголетием.
Нам важно, чтобы вы получали только все самое лучшее, ведь мы выстраиваем свои отношения с клиентами исключительно на взаимовыгодной и долгосрочной основе!
Таблица соответствия терминов — перевод
Английские термины из левого столбца используются в электрических схемах.
Английские термины — Русские термины
- 2-circuit steering — Двухконтурное рулевое управление
- AСL, Air dryer — Централизованная система смазки AСL, воздухоосушитель
- Air horn — Пневматический звуковой сигнал
- Air susp — Пневматическая подвеска
- Airbag — Надувная подушка безопасности
- Applied park brake — Стояночный тормоз включен
- Aux tag axle — Дополнительный мост
- Auxiliary electric central — Дополнительный главный электрический блок
- Auxiliary equipment — Дополнительное оборудование
- Auxiliary heater — Автономный отопитель
- Batt master switch — Выключатель «массы»
- Battery heater — Обогреватель батареи
- Bed lamp upper — Верхний плафон местного освещения
- Boarding step light — Плафон освещения подножки
- BP/P2 — Давление торможения/P2
- Brake pressure — Давление торможения
- Bumper — Бампер
- Cab roof — Крыша кабины
- Cab tilt — Опрокидывание кабины
- Central el unit — Центральный электрический блок (P2)
- Central lock — Центральная блокировка
- Cigarette lighter — Прикуриватель
- Clutch pedal — Педаль сцепления
- Comb instrument — Комбинация приборов
- Connection box in frame — Соединительная коробка на раме
- Coolant level — Уровень охлаждающей жидкости
- Diff lock — Блокировка дифференциала
- Direction ind. light — Указатели поворота
- Distance light — Фара-прожектор
- Door — Дверь
- Door mounted — Установленная дверь
- Door operated general lighting — Плафон, включаемый при открывании двери
- EBS — Электроннопневматическая тормозная система
- EDC — Электронная система управления топливоподачей
- EEB — Моторный замедлитель с электронным управлением
- El heated mirror — Зеркало заднего вида с электроподогревателем
- El roof hatch — Электрический люк в крыше
- ELC — Пневматическая подвеска с электронным управлением
- End out marker light — Габаритный фонарь
- Eng hour count — Счетчик моточасов двигателя
- ETC — Система отопления с электронным управлением
- EXB — Моторный замедлитель
- Exhaust brake — Моторный замедлитель
- External sunvisor — солнцезащитный щиток
- Fan — Вентилятор
- Fifth wheel light — Освещение опорно-сцепного устройства
- Flame start — Электрофакельный предпусковой подогреватель воздуха
- Front fog light — Передние противотуманные фары
- Fuel heater — Подогреватель топлива
- General lighting — Плафон освещения кабины
- Hand lamp socket — Розетка лампы-переноски
- Hazard warning light — Аварийная световая сигнализация
- Head lamp — Фара
- Head lamp washer — Омыватель фар
- Idle — Частота холостого хода
- Interial background light — Фоновое освещение кабины
- Junction block — Соединительный блок
- Light truffer — Знак на крыше
- Loud speaker — Громкоговоритель
- Monsensor oil press engine — Датчик давления в системе смазки двигателя
- Noise limiter — Глушитель
- Not Topline — Не Topline
- Oil press. Engine — Давление в системе смазки двигателя
- Opticruise/GA/Conv Opticruise — автоматическая коробка передач гидротрансформатор
- PTO — Коробка отбора мощности
- Reading lamp — Фонарь местного освещения
- Front fog light — Передние противотуманные фары
- Rear fog light — Задний противотуманный фонарь
- Rear mirror — Зеркало заднего вида
- Refrigerator — Холодильник
- Retract step — Убираемая подножка
- Rheostat Реостат
- Rheostat light level — Реостат корректора фар
- Roof deflector light — Фоновое освещение
- Rotating beacon — Проблесковый маяк
- See wir dgm — См. электрическую схему
- See wir dgm batt mast sw 1-p ADR — См. схему ADR
- See wir dgm batt mast sw 2-p ADR — См. схему ADR
- See wir dgm batt mast sw 1-p no ADR — См. схему выключателя «массы»
- See wir dgm ETC/ETC-AC См. схему ETC+AC
- See wir dgm seat — См. схему сиденья
- Sensor coolant temp engine — Датчик температуры охлаждающей жидкости двигателя
- Sensor fuel level — Датчик уровня топлива
- Sensor oil press engine — Датчик, давление в системе смазки двигателя
- Short-stop heater — Стояночный отопитель
- Signal horn — Звуковой сигнал
- Головка — Головка
- Starter — Стартер
- Stop light — Стоп-сигнал
- Switch door — Дверной выключатель
- Switch lighting — Выключатель освещения
- Symbol lighting — Подсветка символов
- Tag axle lift — Механизм подъема дополнительного моста
- Trailer socket — Розетка прицепа
- Trip- temp met — Одометр и указатель температуры
- Voltage divider — Делитель напряжения
Сигнализация и противоугонная система VPS Противоугонная система и сигнализация
- White smoke limiter — Ограничитель дымления
- Window winders — Стеклоподъемник
- Windscreen wiper — Стеклоочиститель ветрового стекла
- Work light — Рабочее освещение
Предохранители Скания 4



СИСТЕМА ОХЛАЖДЕНИЯ SCANIA 4 СЕРИИ

Данная система охлаждения спроектирована по принципу закрытого типа, с избыточным давлением. Данная характеристика повышает точку кипения теплоносителя.
При открытом термостате охлаждающая жидкость поступает в радиатор, где охлаждается воздухом, проходящим через радиатор под воздействием скоростного напора воздуха от работы вентилятора системы охлаждения.
Техническая информация относится к замене блока управления EDC или блока сопряжения (СОО) в автотранспортных средствах с блоком сопряжения.
Как стало известно, иногда при замене блоков управления в автотранспортных средствах с блоком сопряжения возникают проблемы.
Трудности появляются прежде всего в связи с происшествиями, по причине которых замена кабины или двигателя обусловливает замену блока управления двигателем или блока сопряжения.
Проблемы могут быть также вызваны ошибочным использованием не предназначенных для данных АТС блоков управления, например, в процессе испытания различных АТС, в связи с поиском неисправностей или при проверке технических показателей.
Идентификация VIN SCANIA по индексу модели и номеру шасси

СИСТЕМА ПЕРЕКЛЮЧЕНИЯ ПЕРЕДАЧ SCANIA GRS905
Основная коробка передач имеет три передачи движения вперед, передачу заднего хода и ползущую передачу. Все передачи основной коробки передач синхронизированы, но передача заднего хода и ползущая передача синхронизатора не имеют.
ЗАМЕНА ФОРСУНОК XPI
Широкое применение на американских траках в линейке двигателей Cummins получил 15-ти литровый агрегат (ISX). Есть 2 модификации — с системой рециркуляции отработанных газов (EGR), так и без нее.
ПОИСК НЕИСПРАВНОСТЕЙ В ТОПЛИВНОЙ СИСТЕМЕ SCANIA HPI
Определение неисправностей в топливной системе Scania HPI, симптомами которых являются, например, вибрации, черное дымление ОГ, пониженная мощность или повышенный расход топлива, как оказалось, представляет собой трудную задачу. Кроме того, эти симптомы не всегда можно связать с неисправностями в системе питания СКАНИЯ.
Scania диагностический разъем на R114.R124.R113
ТОПЛИВНАЯ СИСТЕМА С НАСОС-ФОРСУНКАМИ PDE — EDC S6 SCANIA
Методика считывания кодов неисправностей при помощи лампы диагностирования.
Как прочесть коды неисправностей при помощи диагностической лампы изложено ниже.
приведена методика считывания мигающих кодов неисправности.
- Поверните ключ и включите питание бортовой сети.
- Включите диагностический переключатель и подсчитайте число коротких и длинных миганий. Здесь представлен в виде примера один из кодов неисправностей.
- Повторите пункт 2 чтобы просмотреть все коды неисправностей.
Если один и тот же код неисправности повторится несколько раз, это значит в системе обнаружена только одна неисправность.
Как определить работоспособность предохранителей реле скания 4?
Важной частью электрической системы автомобиля являются предохранители реле, которые защищают от перегрузок и короткого замыкания. Реле Scania 4 также имеет предохранители реле
Проверка и определение работоспособности этих предохранителей может быть произведена с помощью следующих шагов:
- Подготовьте инструменты: для проверки предохранителей реле вам понадобятся мультиметр, набор замков, обрезные кусачки.
- Определите расположение предохранителей реле: обычно предохранители реле расположены в блоках и находятся в близости от батареи или центральной панели. Детальную информацию о расположении предохранителей реле Scania 4 можно найти в руководстве по эксплуатации автомобиля.
- Отсоедините аккумулятор: перед проверкой предохранителей реле необходимо отсоединить и изолировать отрицательный клеммный узел аккумулятора. Это позволит избежать возможных коротких замыканий и несчастных случаев.
- Проверьте предохранители с помощью мультиметра: с помощью мультиметра выберите режим проверки предохранителей (обычно DC Voltage). Поставьте одну из щупов мультиметра на ножку предохранителя и другую на металлическую поверхность автомобиля. Если мультиметр показывает 0V, значит предохранитель перегорел и нужно заменить его.
- Замените перегоревшие предохранители: если ваш мультиметр показал 0V, значит предохранитель перегорел и его нужно заменить. Для этого воспользуйтесь набором замков и обрезными кусачками. Отсоедините перегоревший предохранитель от проводов и установите новый предохранитель реле.
- Проверьте работоспособность реле: после замены перегоревших предохранителей проверьте работоспособность реле скания 4. Для этого подключите аккумулятор и проверьте, работает ли определенная функция, управляемая реле (например, световой сигнал, омыватель стекла и т. д.). Если функция работает, значит предохранители реле в порядке.
Проверка и замена предохранителей реле скания 4 рекомендуется проводить регулярно, чтобы избежать возможных поломок электрической системы автомобиля и обеспечить безопасность управления.
Прорыв на дальнее плечо
Нужно заметить, что в 60-е годы по всей Европе активно строились новые автомобильные дороги. Было очевидно, что их сеть становилась разветвлённее год от года. Автоперевозчики постоянно озвучивали растущую потребность в повышении эффективности автомобильного транспорта. Шведы внимательно отслеживали тенденции и в конце концов начали работу над проектом мотора V8.

Решение Scania о разработке восьмицилиндрового двигателя было принято в начале 1960-х годов, в ответ на запросы операторов, требующих большего, чем могла предложить компанией 11-литровая шестёрка.
Новый двигатель Scania V8 DS 14 мощностью 350 л.с. на то время оказался реально самым мощным дизельным двигателем в Европе, и он оставался таковым в течение многих последующих лет. На его разработку у компании ушло семь лет и немало средств, но он стал настоящей классикой и имел огромное влияние на европейский транспортный рынок. Привлекательность конфигурации V8 заключается в том, что она имеет относительно небольшие физические размеры по сравнению с выходной мощностью и, таким образом, может обеспечивать большую мощность и крутящий момент в заданном диапазоне, чем её шестицилиндровые аналоги.

На момент запуска двигателя V8 основные мощные двигатели, применявшиеся в Европе, были родом из Америки. Scania DS 14 предоставил необходимые мощности и требуемую производительность для дальних перевозок, что делает его особенно подходящим для международных операций. С периода запуска V8 автоперевозчики начали совершать регулярные рейсы из Европы на Ближний Восток. Для таких долгих и трудных поездок мощность нового двигателя Scania была идеальной. Но особенно полюбился двигатель водителям Шотландии и Северной Ирландии, которые теперь достаточно легко преодолевали горные серпантины на своих лесовозах.
Несмотря на свою новаторскую природу, двигатель V8 полностью соответствовал философии модульной сборки, которую проповедовала Scania. Она позволяет создавать большое количество вариантов из сравнительно ограниченного диапазона компонентов, поэтому его разработка, по мнению некоторых конструкторов шведской .

Замена перегоревшего предохранителя на Скания 4
Сгоревшие предохранители Скания 4 подлежат замене. Автовладелец заранее приобретает необходимые инструменты и материалы: мультиметр, щипцы, плавкие вставки.
Как добраться до блока предохранителей
Центральный модуль расположен в салоне за группой приборов, объединенных в одну конструкцию.
Алгоритм доступа к энергоблоку:
- Отодвигают верхнюю заслонку, скрывающую приборную панель.
- Оттягивают резиновую подстилку.
- С помощью ручной отвертки отвинчивают крепежные элементы в форме стержня с наружной резьбой.
- Изучают описание плавких вставок и коммутационных выключателей на крышке главного модуля.
Инструкции для ремонта
Нередко замену плавких вставок выполняют своими руками. Для работы используют лишь оригинальные запасные перемычки соответствующего номинала. Ремонт начинают с определения дефектов. Водитель подсчитывает объем работы и нередко выполняет ее самостоятельно.
Алгоритм действий:
- Устанавливают назначение каждого преобразователя в модуле, сверяя маркировку коммутационного устройства с данными, указанными на схеме.
- Для работы используют отвертку или набор съемников для плавких вставок.
- Отключают главный и дополнительный аккумуляторы. В противном случае устранение неисправности с включенным электропитанием приводит к выгоранию защитных устройств.
- Снимают крышку главного блока.
- Демонтируют сгоревшую перемычку с помощью пассатижей.
- Устанавливают новые преобразователи электрического тока в посадочный разъем.
- Включают аккумуляторы и тестируют работу основных систем грузовика.
Если перегорает один и тот же прерыватель, необходимо выполнить диагностику всего оборудования для распределения электрического тока.
Расположение и назначение реле в центральном электрическом блоке Scania (Скания) PGR серии
В блоке предохранителей на автомобилях Скания (Scania) расположены реле, положение и назначение которых приведено на этой странице.
Реле RP1 и RP2 два реле питающих предохранители F1 — F18 после поворота ключа в положение «зажигание».
Предохранители F19 — F44 запитаны от клеммы 30 с и находятся под постоянным напряжением +24 В.
Реле RP3 подает напряжение на предохранители F45 — F48 после запуска двигателя.
F50 получает питание +24В непосредственно от замка после поворота ключа в положение «зажигание».
Реле RP4 питает габаритные огни через предохранители F54 — F59.
Предохранители F61 — F62 получают питание от замка зажигания в положении «Радио»
Назначение реле RP5 — RP27 смотрите в таблице.
| Позиция | Система | Функция |
| RP1 | POW | Подача напряжения от клеммы 15 |
| RP2 | POW | Подача напряжения от клеммы 15 |
| RP3 | POW | управляется VIS |
| RP4 | POW | Подача питания от клеммы 58, управляется VIS |
| RP5 | INL | Внутреннее освещение |
| RP6 | TAL | Механизм подъема дополнительного моста |
| RP7 | VIS | Стоп-сигналы |
| RP8 | VIS | Фонарь заднего хода |
| RP9 | COO | Блок резисторов для автомобилей с круиз-контролем без кнопок этой системы на рулевом колесе |
| RP10 | FMS | ECU для подготовки FMS |
| RP11 | FMS | ECU для подготовки FMS |
| RP12 | CCS | Реле AC (Crew Cab) |
| RP13 | POW | Предохранительный переключатель |
| RP18 | POW | Дополнительное реле подачи питания от клеммы 15 для автомобилей типа S |
| RP19 | CAT | Реле электронной системы подъема кабины |
| RP20 | TGL, KIT | Задний подъёмный борт и кухонное оборудование |
| RP23 | VIS | Дополнительный фонарь |
| RP24 | VIS | Дополнительный фонарь |
| RP25 | VIS | Дополнительный фонарь |
Более точное расположение реле, для конкретного автомобиля, смотрите на вкладках в предохранительном блоке. Они представлены в виде картинок расположенных ниже.
Источник
Scania K-, N-, F-series Workshop Manuals
Scania bus PDF repair manual.rar
Battery, hybrid vehicle.pdf
Central electric unit, hybrid vehicle.pdf
Control unit, hybrid vehicle.pdf
Coolant pump, hybrid vehicle.pdf
Coolant radiator, hybrid vehicle.pdf
Cooling system, hybrid vehicle.pdf
Direct current converter, hybrid vehicle.pdf
Dismantling information Scania Touring; Scania — Higer A80, A30.pdf
Electric machine, hybrid vehicle.pdf
Expansion tank, hybrid vehicle.pdf
Gearbox, hybrid vehicle.pdf
Heater, hybrid vehicle.pdf
MGU inverter, hybrid vehicle.pdf
Oil cooler, hybrid vehicle.pdf
Procedure for work on hybrid vehicles.pdf
Solenoid valve, hybrid vehicle.pdf




























