Коды ошибок Тойота Камри 40
Check VSC System — сообщение появляется на экране бортового компьютера.
Само уведомление Check VSC System не несет конкретной информации, это предупреждение о том, что с автомобилем что-то не так. Существенных проблем может не быть, например, заправляетесь с работающим двигателем, или подзарядили севший аккумулятор, появится Check VSC System. Если поломки нет, то сообщение уйдет, заглушите и заведите авто 10 раз или отсоедините клему от аккумулятора на 5 минут. Уведомление не уходит, то проводите компьютерную диагностику Камри.
Надпись на экране борт компьютера CHECK VSC SYSTEM.
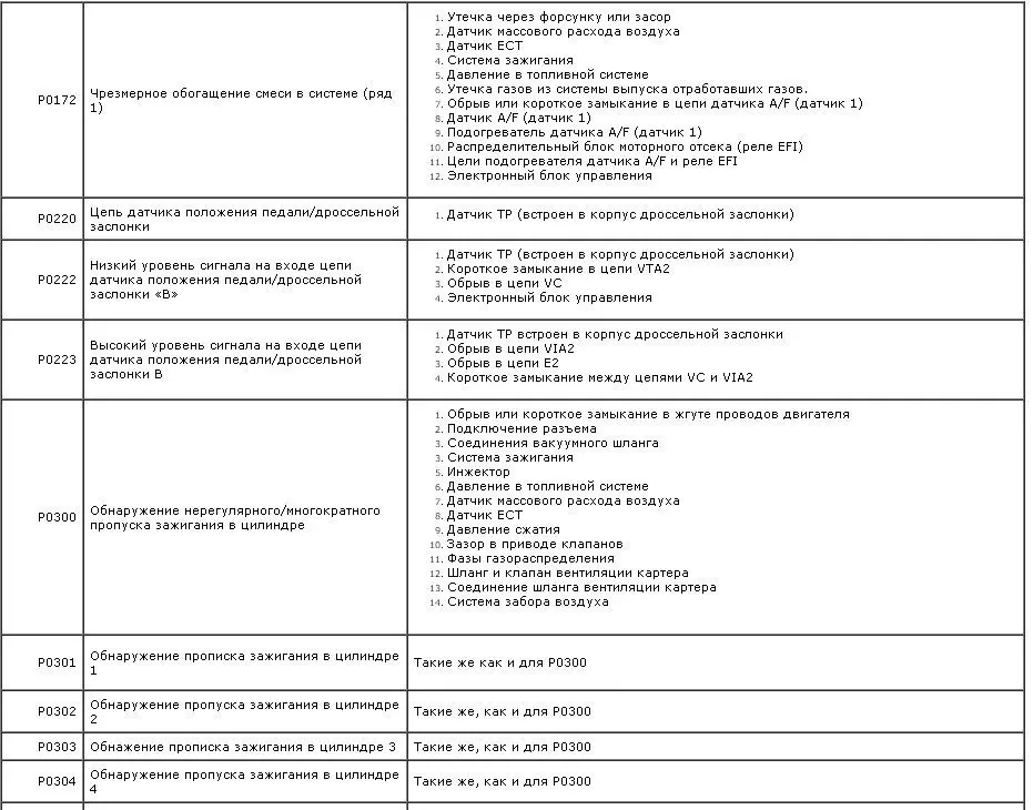
Коды ошибок двигателя, возможная неисправность
После проведения диагностических работ необходимо получить максимально полную информацию о предполагаемой неисправности. Например, компьютерная диагностика покажет ошибку P0032. Согласно приведенной ниже таблице, это расшифровывается как перегрузка по току в цепи первого нагревателя лямбда-зонда. Не стоит сразу покупать новый датчик (в Camry он стоит более 3 тысяч рублей).
Прежде всего, проверьте проводку, ведущую к нему. Camry, как и большинство новых бензиновых автомобилей, имеет два кислородных зонда (лямбда-зонда) — один до и один после каталитического нейтрализатора. Они нагреваются, что означает наличие катушки, которая нагревает датчик для приведения его в рабочее состояние. Датчик может быть неисправен, катушка может быть закорочена, и диагностика покажет ошибку 0032. Однако в большинстве случаев причиной этой неисправности является короткое замыкание в жгуте проводов, идущих к лямбда-датчику. Он прокладывается в непосредственной близости от выпускного коллектора, который нагревается до температуры более 300 градусов Цельсия. Если ПВХ-изоляция повреждена, жгут проводов может замкнуться с заземлением автомобиля. В этом случае может появиться ошибка P0032. Ошибка может исчезнуть во время диагностики, но снова появиться позже, поэтому лучше проверить качество изоляции.
Ниже приведена расшифровка основных кодов неисправностей двигателя и их возможных причин.








Видео:как сбросить MAINT REQD на Toyota Camry 40 SEСкачать

Что значит ошибка P0172 Toyota Camry V40
Ошибка P0172 в Toyota Camry V40 указывает на смесь топлива-воздуха, которая слишком богата. Это ошибка, которая связана с системой управления топливом и может вызывать проблемы со сгоранием топлива и эффективностью двигателя.
Когда система управления топливом не может достичь оптимального соотношения топлива и воздуха, двигатель может работать неэффективно. Это может привести к ухудшению экономии топлива, неравномерной работе двигателя, увеличенному выбросу вредных веществ и другим проблемам.
Основные причины ошибки P0172 включают:
- Дефектный датчик кислорода (O2)
- Проблемы с датчиком массового расхода воздуха (MAF)
- Засорение фильтра воздушного потока
- Проблемы с системой впрыска топлива
- Проблемы с регулятором давления топлива
- Проблемы с датчиком температуры воздуха
- Утечки в системе впуска
Симптомы ошибки P0172 могут включать:
- Повышенный расход топлива
- Неустойчивая работа двигателя (подергивания, дерганье)
- Потеря мощности двигателя
- Необычный запах выхлопных газов
- Появление дыма из выхлопной трубы
- Ухудшенная производительность двигателя
Для исправления ошибки P0172 рекомендуется провести диагностику системы управления топливом. Это может включать проверку датчиков, очистку фильтра воздушного потока, проверку наличия утечек в системе впуска, замену дефектных деталей и т.д.
Без ремонта и исправления причины ошибки P0172, проблемы с двигателем могут ухудшиться, что может привести к серьезным поломкам и более высоким расходам на ремонт.
Современные сканеры
Сейчас представлено много сканеров для считывания кодов ошибок автомобилей, которые полностью расшифровывают коды ошибок. Данные программы переведены на русский язык, просты в использования и позволяют настроить параметры автомобиля. Например, время, когда погаснут фары, после выключения зажигания, через сколько секунд погаснет свет в салоне при посадке, высадке и другое.
Владельцу авто стоит задуматься о приобретение диагностического оборудования. Не плохие производители диагностических приборов: Launch, ELM, Autel, Autocom, Carman.
Само уведомление Check VSC System не несет конкретной информации, это предупреждение о том, что с автомобилем что-то не так. Существенных проблем может не быть, например, заправляетесь с работающим двигателем, или подзарядили севший аккумулятор, появится Check VSC System. Если поломки нет, то сообщение уйдет, заглушите и заведите авто 10 раз или отсоедините клему от аккумулятора на 5 минут. Уведомление не уходит, то проводите компьютерную диагностику Камри.
P0351, P0352, P0353, P0354, P0355, P0356
Ошибки катушек зажигания, последние две могут появиться только у моторов Тойота V6, например, 2GR-FE.
Причины появления данных кодов:
- вышедшая из строя катушка зажигания,
- неисправная проводка, ведущая к катушкам,
- сломанный электронный блок управления.
Чтобы точно установить неисправность, осциллографом измерьте электрический сигнал с катушки зажигания показавшей ошибку. Если нет осциллографа, то можно поменять местами потенциально неисправную катушку с другой. Например, есть ошибка P0351, переставили катушку с первого цилиндра на второй, теперь сканер показывает P0352 – проблема в катушке, если же код остался прежним P0351 – неисправна проводка или ЭБУ.
P0172
Ошибка P0172 – слишком богатая топливновоздушная смесь. Причины возникновения:
- система впуска воздуха,
- неисправные форсунки,
- не корректно работающий датчик массового расхода воздуха,
- давление топлива вне допустимых пределов,
- утечка отработавших газов,
- проблема в цепи или в самом кислородном датчике,
- ЭБУ.
Для постановки точного «диагноза» обратитесь к опытному мастеру.
Один из вариантов устранения ошибки – замена клапана VVT-I.
P2237
P2237 – обрыв в цепи тока накачки кислородного датчика (A/F), P2238 – слабый ток в цепи тока накачки кислородного датчика (A/F) (1 ряда 1). Речь о лямбда-зонде, установленном до катализатора, который расположен рядом с двигателем. Данная ошибка может и не повлиять на поведение автомобиля, но расход топлива увеличиться. Хотим предостеречь от замены этого датчика на не оригинальный.
Использование данной головки позволит не снимать тепловой экран при замене вышедших из строя лямбда-зондов.
P0137, P0157
P0137, P0157 – низкое напряжение в цепи кислородного датчика (ряд1, ряд2 датчик 2).
Причины появления ошибок P0137, P0157:
- обрыв, надрыв цепи подогреваемого кислородного датчика ряд 1,2 датчик 2,
- неисправный лямбда-зонд (подогреваемый кислородный датчик),
- датчик топливновоздушной смеси ряд 1,2 датчик 1,
- утечка из системы отработавших газов.
Если во время активного управления соотношением воздух-топливо заданное соотношение является обогащенным, но выходное напряжение подогреваемого кислородного датчика составляет менее 0,21 В (обеднение), ECM рассматривает это как чрезмерно низкое выходное напряжение датчика и регистрирует DTC P0137 или P0157. Если во время активного управления соотношением воздух-топливо заданное соотношение является обедненным, но выходное напряжение составляет более 0,59 В (обогащение), ECM рассматривает это как чрезмерно высокое выходное напряжение датчика и регистрирует DTC P0138 или P0158.
Если замена датчика не принесла результата, то мастера могли поменять не тот датчик (такое бывает часто), или проблема не в датчике, а в цепи или в утечке выхлопных газов.
Проверьте все разъемы, они могли окислиться, в них могла попасть влага. Визуально осмотрите проводку, не нарушена ли ее целостность. Если визуально цепь в порядке, то проверьте ее работу с помощью осциллографа.
Когда срабатывает сигнал ошибки Р0172
Чтобы ЭБУ показал эту ошибку при ее наличии, мотор должен быть заведен, должен быть установлен датчик кислорода — лябда-зонд. Также не должна высвечиваться ошибка датчика температуры охлаждающей жидкости системы ДВС, датчика температуры всасываемого воздуха (ДТВВ), датчика абсолютного давления (MAP-sensor), датчика положения дроссельной заслонки (ДПДЗ), датчика массового расхода воздуха ДМРВ, датчика положения распредвала (ошибка Р0021) и датчика положения коленвала (ДПКВ).
Причины обогащения смеси:
- не полностью сгорает топливо из-за непостоянной подачи искры на свечи (или проблема в свечах, или катушке зажигания, или в высоковольтных проводах);
- подается избыточное количество кислорода из-за неправильной работы датчика кислорода или форсунок;
- не додается нужное количество кислорода.
Чаще проблемы топливной смеси в недостаче воздуха, а переизбыток воздуха встречается реже. При подачи воздуха для образования горючей смеси участвуют датчик лямбда-зонд и МАП сенсор.
Причина обогащения может быть связана не только с неправильной работы датчиков, но из-за нарушения герметичности, малой компрессии цилиндров, нарушения работы газораспределительного механизма.
Признаки работы двигателя на обогащенной смеси:
- Плохая динамика. Нажатие на педаль газа не разгоняет обороты ДВС.
- Увеличенный расход топлива.
- Выхлопные газы черного цвета.
- Хлопки из глушителя из-за того, что топливо не успевает сгореть в рабочей камере сгорания цилиндра и догорает в выхлопной системе. Хорошо слышны они при сбросе газа.
- На свечах зажигания имеет черный бархатный нагар.
- Завести двигатель, довести до режима, когда появляется 0172 ошибка.
- Сделать анализ ошибки со сканера, например ОБД2.
- Осмотреть узлы силового агрегата, проверить соединения, если подсасывает воздух, будет заметно.

How to Diagnose and Fix P0172 in the Toyota Camry
There are a number of potential causes of P0172 in the Toyota Camry. We recommend checking your vehicle for other codes first (so you don’t go in blind) and starting with the easiest stuff first.
1. Check for Other Codes

Other codes can provide valuable insight into what’s going on with your Camry. P0172 rarely appears alone (if it does look for a vacuum leak, bad O2 sensor, or dirty MAF).
2. Do You Smell Gas?
When your Camry’s engine is running, do you smell gas? If you smell a strong odor of gas while the engine is running, it can be caused by a leaking injector or a fuel regulation issue.
3. Check the Easily Checkable Items
- Check the air filter to ensure it isn’t filthy or something isn’t nested. If not enough air gets into the engine, P0172 can appear.
- Take a look at all the vacuum and PCV hoses. Verify they are tightly sealed and leak-free.
- Check for restrictions in the intake.
- Listen for an exhaust leak. It’s more likely to cause P0171, but it can happen.
- Inspect the injector wiring harness. If there’s obvious wiring damage, repairing it should clear the code. Look for loose, damaged, or cracked wiring.
- Examine the wiring harness going to the B1S1 O2 sensor.
- Contaminated oil can cause P0172.
4. Check The Fuel Pressure
If there were no obvious issues causing P0172, check the fuel pressure. You can usually get a loaner fuel pressure testing tool at many parts stores.
If the fuel pressure is too high at the rail, you’ll need to fix the issue with whatever your Camry uses to regulate it or the fuel pressure sensor.
5. Clean the MAF Sensor
Here are a couple of common MAF sensor styles
A dirty MAF sensor is a common cause of P0172. If you got a MAF-related code when you had your scan tool in, you’d want to address it in more detail. But if it’s dirty, that doesn’t always appear as a code.
Make sure only to use a MAF sensor cleaner. Here’s a quick 2-minute video that shows you exactly how to clean a MAF sensor.
6. Test the B1S1 O2 Sensor

Earlier, we took a look at the B1S1 O2 sensor’s wiring. Now it’s time to test the sensor itself.
If your Camry came with a V6 or V8, you can swap the two O2 sensors on or by the exhaust manifolds. Clear the OBD II codes. If the code “jumps” to bank 2, you know that the O2 sensor needs replacing.
If you can’t do the swap test, you can use a multimeter to test them. Here’s how.
Устранение ошибки P0172 слишком богатой смеси
Следовательно, чтобы найти виновный узел или систему потребуется проверить мультиметром датчики MAF, ДТОЖ и лямбда-зонд. Затем проверить свечи, вв провода и катушки. Замерить давления топлива манометром. Проверить метки зажигания. А также проверить соединения на впуске воздуха и на выпускном коллекторе на наличие подсоса воздуха.
Устранив проблему потребуется сделать сброс корректировки подачи топлива, дабы сбросить долгосрочную корректировку до 0%.
Выполнив все рекомендации вам наверняка удастся справится с некорректной работой двигателя и установкой кода ошибки P0172 как на ВАЗе так и на иномарках вроде Toyota или Мерседес, а так же других авто с электронным управлениям. Хотя зачастую все пункты выполнять не приходится, в большинстве случаев промывкой либо заменой ДМРВ или кислородного датчика.
Что делать, если возникает ошибка P0172 – слишком богатая смесь
Для определения причин возникновения ошибки, нужно проверить информацию, которую передает диагностический сканер при имитации условий возникновения ошибки. Если сразу определить проблему не получилось, действовать необходимо по следующему сценарию:
- Проверяется датчик массового расхода воздуха на наличие сколов, повреждений, окислений, потери контакта;
- Осматривается воздушный фильтр, при необходимости происходит его замена;
- Проверяется кислородный датчик, который также может выйти из строя по причине обрыва проводов, сколов, коррозии, что приведет к его неправильной работе;
- Проверяется датчик температуры охлаждающей жидкости на наличие обрывов, коррозии и другие проблемы;
- Проверяются клапана адсорбера, грамотная работа которых необходима для поимки паров бензина;
- Замеряется давление в топливной рамке. Если оно оказывается выше нормы, необходимо проверить регулятор давления;
- Проверяются свечи и катушки зажигания;
- Необходимо диагностировать соединение на впуске воздуха и на выпускном коллекторе, проверив на наличие подсоса воздуха;
- Проверяются метки зажигания.
После обнаружения и устранения неисправности, которая приводила к возникновению ошибки P0172, необходимо произвести сброс корректировки подачи топлива. Это требуется сделать, чтобы обнулить долгосрочную корректировку.
Ошибки.Большой расход.Вибрация. ОТЧЕТ.Слишком богатая смесь P0172/ 2-az-fe
Ошибки.Большой расход.Вибрация. ОТЧЕТ.Слишком богатая смесь P0172/ 2-az-fe
Проблема- В один «прекрасный» день во время движения загарелся ЧЕК. Я остановился скинул клемму с мыслью о том что если ошибка серьезная то снова загарится и потом проверю машину комьютером. Чек потух и я ездил недели две. При этом чувствовал что куда то пропали низы. надо много давить на газ. развивает скорость только после 3500 тыщ. оборотов. расход вырос хотя и был не маленьким. Был 15-16 стал около 20. И появилась неприятная дрож по всей машине при включении АКПП на драйв как будто порвана опора(подушка) двигателя. Тем самым дрожь меня бесила больше всего что и последовало к моим действиям.Через две недели чек снова загарелся я сделал диагностику на LAUNCH и выдал он ошибки P0101 P0172. P0101-Выход сигнала датчика расхода воздуха из допустимого диапазона P0172- Слишком богатая смесь (Банк 1)
НУ и тут началась моя эпопея по борьбе с этими ошибками . Мне их сбросили. И теперь по порядку что было сделано для усранения.
1. Была снята и промыта дроссельная заслонка (в последствии через неделю была заменена на с заведомо рабочей машины на всякий случай) 2. Замены свечи на оригинальные Тойоты SK20R11(Denso)
3. Снят и промыт карб спреем и бензином клапан VVT-i (был чист)
ЧЕК снова загорелся с ошибкой p0172 и был потушен
4. Снял форсунки и промыл их тем же Карб Спреем и подключением их к аккуму с интервалами. 5. Снял помыл спиртом аккуратно MAF(датчик расхода воздуха) (через месяц снял с такой же машины у приятеля езда без изменений и ошибка так же выскочила)
ЧЕК снова загорелся с ошибкой p0172 и был потушен 6. Промывка системы WINNS ом подсоеденен отдельный насос с фильтром и двигатель работал 2 часа на этой жидкости для промывки топливной системы. Резултат — тяга чуть улучшилась 7.Заменен фильтр в топливном баке (меняю каждые 15000) 8.Куплены 4 катушки зажигания заменены результат НИКАКОЙ без изменений 9.Заменена правая нижняя опора двигателя (чтобы убрать дрожь) результат НИКАКОЙ, заказал теперь переднюю возле радиатора посредине. (цены кусаются но выхода нет кроме оригинала ничего не ставлю)
ЧЕК постепенно загарается примерно раз в неделю.В течении этого времени сканируется машина диллерской программой Techstream. Как утверждают диагносты все показатели вроде бы в норме.
10. Заменен датчик температуры двигателя участвующий в образовании топливной смеси. результат НИКАКОЙ
11. Снят почищен клапан (Toyota 1220428030 КЛАПАН ВЕНТИЛЯЦИОНННЫЙ)
12. Где то в промежутке между вышеперечисленным делался сброс до заводских настроек двигателя и коробки. 13.Замена давления в топливной системе ездил около 3 часов в разных режимах \\Давление постонно 3.1 держит.. при нажатии газа в пол падает да 3(короче в норме) 14. Компресия замерена по 12 в каждом целиндре. 15. Проверял катализаторы. Сказали что внешне они как новые со всех сторон.Да и сам видел выглядят как новые
На сегодняшний день прошло уже около 4 месяцев с начала проблемы и НИКАКИХ результатов еще и вчера вылезла новая ошибка b1423-давление в кондиционере вышло за пределы (непонятно с чего вдруг и при чем тут кондёр когда на улице -28) В общем уже устал и не знаю что делать. В моем понимании осталось методом «тыка» поменять Air Fuel Sensor верхний , Oxygen Sensor нижний после ката. или проблема в блоке управления /
Как считывать ошибки?
Порядок проведения работ по считыванию кодов состоит из следующих шагов:
- Заглушив двигатель, специальный сканер необходимо подключить к разъему для диагностики, который находится в блоке предохранителей.
- Далее, сканер следует подключить к ноутбуку или компьютеру, на котором установлено специальное программное обеспечение для самодиагностики. Если это ПО установлено на смартфон, то действие заключается в подключении по bluetooth.
- Дальше работа происходит в среде программы – в меню нужно выбрать Тойота Камри, год выпуска и кузов.
- Потом необходимо завести автомобиль или включить зажигание, в таком положении можно запускать сканирование кодов.
- Результатом сканирования будет список кодов ошибок, который высветится на дисплее ноутбука или смартфона. Эти ошибки записывались с момента последнего удаления регистра – то есть, информация неактуальная. Проведение правильной диагностики требует форматирования памяти – все высвеченные ошибки следует удалить.
- После очистки памяти бортовой системы на автомобиле необходимо проехать 2-3 километра, после чего провести повторное считывание – теперь перечень ошибок будет включать в себя только «свежие» коды.
- Последним этапом будет сохранение и расшифровка кодов.
Причины возникновения ошибки p0172
Ошибка p0172 у Тойота Камри V40 указывает на то, что смесь воздуха и топлива в системе двигателя установлена слишком богатой на некотором участке работы двигателя. Это может привести к неправильной работе двигателя и ухудшению его производительности. Возможные причины возникновения ошибки p0172 включают:
- Неисправный датчик кислорода (O2).
- Засорение форсунок топлива или их поломка.
- Плохая работа системы впуска воздуха (например, неисправный датчик массового расхода воздуха).
- Неправильная работа топливной системы (например, проблемы с давлением топлива).
- Неисправность системы зажигания (например, неисправные свечи зажигания).
- Неисправность системы контроля выбросов (например, проблемы с системой рециркуляции отработавших газов).
Для определения точной причины ошибки p0172 необходимо провести диагностику автомобиля с помощью специализированного оборудования и провести проверку указанных компонентов системы двигателя. После выявления причины ошибки можно будет приступить к ее устранению, заменив неисправные детали или совершив регулировку соответствующих систем.
При каких условиях возникает
Чтобы электронное управление опознало ошибку P0172 и сообщило о ней водителю, должны появиться сигналы на некоторых датчиках. Диагностику следует выполнять при заведённом двигателе. Также нужно проследить, чтобы работала подача топлива с обратной связью с лямбда-зондом. Во время испытательного цикла общее значение долгосрочной и скорой корректировки подачи топлива составляет менее 33% за 3 (и более) из 7 минут.
С датчиков на приборной панели должна поступать следующая информация:
- о положении коленчатого вала;
- о положении распределительного вала;
- о положении дроссельной колонки;
- об абсолютном давлении;
- о температуре всасываемого воздуха;
- об охлаждающей жидкости.

Возможные причины повлекшие ошибку p0172
Диагностический код ошибки (DTC) P0172 стандарта OBD II.
Чтобы понять, чем вызвана ошибка богатой смеси нужно составить для себя список причин, пользуясь небольшим алгоритмом.
Обогащения смеси возникает из-за неполного сгорания (чрезмерная подача либо нехватка воздуха):
Избыток топлива достаточно редко может случатся, а вот недостача воздуха – типичная проблема. Подача воздуха в топливо происходит на взаимосвязи MAP сенсора и лямбда зонда. Но кроме датчиков проблема также может быть вызвана нарушением тепловых зазоров (двигатели с ГБО), механическое повреждение различных прокладок и уплотнителей, нарушения в работе ГРМ или недостаточной компрессией.
Чтобы разобраться со всеми возможными источниками, повлекшими за собой сбой проверка производится по таким пунктам:
Основные места проверки
Исходя из всего вышеперечисленного, можно определить основные причины:
Общие причины ошибки P0172
В зависимости от года выпуска, марки и модели ошибка P0172 может иметь ряд причин. Вот некоторые из наиболее распространенных.
- Toyota / Lexus. Загрязнённый ДМРВ, обычно с фильтрами после замены. Причины этой зависимости не до конца ясны, но многие ДМРВ Тойоты особенно подвержены загрязнению. Очистка обычно безуспешна. Замените старый датчик расхода воздуха и воздушный фильтр двигателя. Очистите воздушную камеру, установите новый ДМРВ и воздушный фильтр. Желательно использование оригинальных запчастей. Проверьте уплотнения на воздушной камере.
- Масляные фильтры. Некоторые двигатели, как по конструкции, так и по возрасту, могут пропускать масло в воздушную камеру, а затем в воздушный фильтр и ДМРВ. Кроме того, некоторые воздушные фильтры послепродажного обслуживания требуют масляной обработки для правильной работы, но некоторые автовладельцы могут быть слишком усердными в этом. В любом случае, избыточное масло может загрязнить датчик массового расхода воздуха, что приведет к неправильному измерению воздушного потока. Также убедитесь, что PCV (клапан принудительной вентиляции картерных газов) и трубки находятся в исправном состоянии.
- Грязь. В идеальном мире ваш моторный отсек будет безупречно чистым. Однако со временем грязь и сажа накапливаются, и легко могут проникнуть в двигатель и системы управления. Старые и запущенные автомобили могут легко подвергнуться загрязнению ДМРВ из-за пыли, грязи или плохой герметизации воздуховода.
- Утечки топливных форсунок. Из-за старения или загрязнения топливная форсунка может протекать, выливая топливо в цилиндр, даже если этого не требуется. Проверьте масло на запах топлива, который является хорошим индикатором утечки.
- Утечка в регуляторе давления топлива. Известно, что на некоторых автомобилях вакуумные регуляторы давления топлива протекают изнутри, пропуская неизмеренное топливо непосредственно во впускной коллектор.
Устранение ошибки P0171 P0172 SFI 1AZ-FE TOYOTA RAV4 / ACA30, ACA33, ACA38 ALA30
DTC P0172 Чрезмерное обогащение смеси в системе (ряд 1)
Коррекция подачи топлива имеет отношение к выработке компенсационного сигнала обратной связи, а не к регулированию базовой продолжительности впрыска. Общая коррекция подачи топлива включает краткосрочную и длительную коррекции подачи топлива. Краткосрочная коррекция представляет собой непродолжительную коррекцию состава топливовоздушной смеси, используемую для поддержания соотношения воздух-топливо, близкого к стехиометрическому. Сигнал датчика топливовоздушной смеси (A/F) показывает, обеднена или обогащена топливовоздушная смесь по сравнению со стехиометрическим соотношением воздух-топливо. Указанное расхождение вызывает снижение объема впрыска топлива, если смесь обогащена, или увеличение объема впрыска топлива, если смесь обеднена. Такие факторы, как индивидуальные различия двигателей, износ с течением времени и изменение рабочих условий приводят к отклонению краткосрочной коррекции подачи топлива от центрального значения. Длительная коррекция подачи топлива, управляющая общей компенсацией подачи топлива, компенсирует длительные отклонения коррекции подачи топлива от центрального значения, возникающие вследствие краткосрочной коррекции подачи топлива.
Если ни краткосрочная, ни длительная коррекции не приводят к достижению центрального значения и смесь по-прежнему остается обогащенной или обедненной, ЕСМ воспринимает это как неисправность, включает контрольную лампу MIL и регистрирует код DTC.
ОПИСАНИЕ МОНИТОРА
В случае управления подачей топлива по замкнутому контуру значения объема впрыска топлива, отклоняющиеся от рассчитанных блоком ECM, приводят к изменениям величины длительной коррекции подачи топлива. Регулирование длительной коррекции подачи топлива выполняется при наличии постоянных отклонений величины краткосрочной коррекции подачи топлива. Отклонения от вычисленного блоком ECM объема впрыска топлива также влияют на среднее значение параметра настройки коррекции подачи топлива, которое является суммой средней краткосрочной коррекции подачи топлива (значение обратной связи компенсации подачи топлива) и средней длительной коррекции подачи топлива (значение параметра настройки соотношения воздух-топливо). Если среднее значение параметра настройки коррекции подачи топлива превышает пороговое значение, ECM воспринимает это как неисправность топливной системы и регистрирует код DTC.
ПОСЛЕДОВАТЕЛЬНОСТЬ ПРОВЕРКИ
| Индикация (отображаемые коды DTC) | Следующий шаг |
| P0171 или P0172 | А |
| P0171 или P0172 и другие DTC | B |
УКАЗАНИЕ: Если отображаются какие-либо другие коды, помимо P0171 или P0172, сначала выполните поиск неисправностей для данных DTC.
Номинальное значение / Номинальный режим: Значение параметра «MAF» при работе двигателя на холостом ходу: От 0,54 г/c до 4,33 г/с (MT), от 0,58 г/c до 4,67 г/c (AT), (положение рычага переключения передач: N, система кондиционирования: выключена). Значение датчика MAF при частоте вращения коленчатого вала двигателя 2500 об/мин: От 3,33 до 9,17 г/с (положение рычага переключения передач: N, система кондиционирования: выключена).
Номинальное значение / Номинальный режим: При холодном двигателе: Соответствует температуре окружающей среды. При прогретом двигателе: От 75°C до 100°C (167-212°F)
OK: Шланг вентиляции картера подсоединен правильно и не поврежден.
OK: В системе впуска нет утечки вакуума.
1. Снимите катушку зажигания с головки блока цилиндров.
2. Установите свечу зажигания в катушку зажигания.
3. Подсоедините портативный диагностический прибор к DLC3.
4. Включите зажигание (IG) и включите портативный диагностический прибор.
5. Выберите следующие элементы меню: Powertrain / Engine and ECT / Active Test / Control the All Cylinder Fuel Cut.
6. Коснитесь свечой зажигания головки блока цилиндров.
7. Выполните испытание «Control the All Cylinder Fuel Cut» (управление прекращением подачи топлива во всех цилиндрах) (нажмите правую или левую кнопку для изменения в состояние ON (ВКЛ)).
ПРИМЕЧАНИЕ: Если для параметра «Control the All Cylinder Fuel Cut» (управление прекращением подачи топлива во всех цилиндрах) указано значение OFF (ВЫКЛ) и коленчатый вал двигателя прокручивается стартером, происходит впрыск топлива.
8. Прокрутите коленчатый вал двигателя стартером в течение менее 2 секунд и проверьте наличие искры.
OK: Через зазор электрода проскакивает искра.
9. Установите катушку зажигания.
OK: Нет утечки газа.
Номинальное давление: 304–343 кПа (3,1–3,5 кгс/см2, 44,1-49,7 фунтов на кв. дюйм)
Номинальный объем впрыска топлива: 76-92 см3 (4,6 — 5,6 куб. дюймов) за 15 секунд
Рекомендуемые инструменты для исправления P0172
Ошибка p0172 означает слишком богатая смесь (или system too rich). Таким образом в цилиндры сгорания подается переобогащенная топливная смесь. Как и код P0171, ошибка богатой смеси — системная. То есть не указывает на явную неисправность датчиков, но параметры количества топлива выходят за предельное значение.
В зависимости от причины, которая вызвала появления такого кода ошибки, поведения автомобиля тоже бывает разным. В некоторых случаях появится заметный расход топлива, а в некоторых только захлебывание на холостых или плавание оборотов либо на горячем двигателе, либо когда он еще холодный.
Ошибки. Большой расход. Вибрация. ОТЧЕТ. Слишком богатая смесь P0172/ 2-az-fe
Проблема — В один «прекрасный» день во время движения загарелся ЧЕК. Я остановился скинул клемму с мыслью о том что если ошибка серьезная то снова загарится и потом проверю машину комьютером. Чек потух и я ездил недели две. При этом чувствовал что куда то пропали низы. надо много давить на газ. развивает скорость только после 3500 тыщ. оборотов. расход вырос хотя и был не маленьким. Был 15-16 стал около 20. И появилась неприятная дрож по всей машине при включении АКПП на драйв как будто порвана опора(подушка) двигателя. Тем самым дрожь меня бесила больше всего что и последовало к моим действиям. Через две недели чек снова загарелся я сделал диагностику на LAUNCH и выдал он ошибки P0101 P0172. P0101-Выход сигнала датчика расхода воздуха из допустимого диапазона P0172- Слишком богатая смесь (Банк 1)
1. Была снята и промыта дроссельная заслонка (в последствии через неделю была заменена на с заведомо рабочей машины на всякий случай) 2. Замены свечи на оригинальные Тойоты SK20R11(Denso)
3. Снят и промыт карб спреем и бензином клапан VVT-i (был чист)
ЧЕК снова загорелся с ошибкой p0172 и был потушен
4. Снял форсунки и промыл их тем же Карб Спреем и подключением их к аккуму с интервалами. 5. Снял помыл спиртом аккуратно MAF(датчик расхода воздуха) (через месяц снял с такой же машины у приятеля езда без изменений и ошибка так же выскочила)
7.Заменен фильтр в топливном баке (меняю каждые 15000) 8.Куплены 4 катушки зажигания заменены результат НИКАКОЙ без изменений 9.Заменена правая нижняя опора двигателя (чтобы убрать дрожь) результат НИКАКОЙ, заказал теперь переднюю возле радиатора посредине. (цены кусаются но выхода нет кроме оригинала ничего не ставлю)
ЧЕК постепенно загарается примерно раз в неделю. В течении этого времени сканируется машина диллерской программой Techstream. Как утверждают диагносты все показатели вроде бы в норме.
10. Заменен датчик температуры двигателя участвующий в образовании топливной смеси. результат НИКАКОЙ
11. Снят почищен клапан (Toyota 1220428030 КЛАПАН ВЕНТИЛЯЦИОНННЫЙ)
12. Где то в промежутке между вышеперечисленным делался сброс до заводских настроек двигателя и коробки. 13.Замена давления в топливной системе ездил около 3 часов в разных режимах \\Давление постонно 3.1 держит.. при нажатии газа в пол падает да 3(короче в норме) 14. Компресия замерена по 12 в каждом целиндре. 15. Проверял катализаторы. Сказали что внешне они как новые со всех сторон. Да и сам видел выглядят как новые
Всем привет!Как я писал ранее возникала ошибка «Р0172» обогащенная смесь.Ошибка была сброшена, но увеличился расход топлива в городе до 18 литров.И вот спустя неделю все удалось устранить.По совету нашего товарища и одноклубника Fikus-84 (страница его кому интересно была произведена замена свечей и чистка датчика массового расхода воздуха (ДМРВ).
Вроде еще живые, что им надо было.
И вот сегодня при пробеге 150 км. в смешанном цикле трасса-город (80 трасса, 70 город) средний расход топлива показал 9,6 литра.




























